В Нью-Йорке стартовала лотерея для 80 доступных домов - ForumDaily
The article has been automatically translated into English by Google Translate from Russian and has not been edited.
Переклад цього матеріалу українською мовою з російської було автоматично здійснено сервісом Google Translate, без подальшого редагування тексту.
Bu məqalə Google Translate servisi vasitəsi ilə avtomatik olaraq rus dilindən azərbaycan dilinə tərcümə olunmuşdur. Bundan sonra mətn redaktə edilməmişdir.

В Нью-Йорке стартовала лотерея для 80 доступных домов

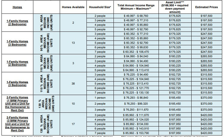
East Brooklyn Congregations и Monadnock Development объявили о запуске лотереи для 80 доступных домов в Бруклине. Цены на жилье стартуют от $197 500, что на порядок ниже средней цены по городу $309 100, согласно информации на сайте Zillow.

Фото: Depositphotos

Эти дома строятся в рамках проекта Gateway Estates Департамента по сохранению и развитию жилья в Нью-Йорке.

На недорогую недвижимость могут претендовать жители Нью-Йорка, чей годовой доход составляет 90%, 110% и 130% от среднего.

Доступны следующие дома:

  1. 5 домов с двумя комнатами на одну семью. Цены составляют от $197 500 — $265 500, в зависимости от семейного дохода.
  2. 51 дом с тремя комнатами. Цены составляют от $ 247 500 до $315 500.
  3. 27 домой для двух семей, стоимостью от $370 000 до $420 000. Их особенность состоит в том, что они доступны для претендентов с доходом 130% от среднего.

Что необходимо для подачи заявок

Чтобы запросить форму заявления на РУССКОМ языке по почте, отправьте конверт с обратным адресом по следующему адресу: Nehemiah Spring
Creek Phase 4A, 551 Vandalia Avenue, 1st Flr. Brooklyn, NY 11239. На обратной стороне конверта напишите английское слово «RUSSIAN».
Заявление можно скачать с веб-сайта: www.Nehemiah-Spring-Creek.com/application. Заявления должны быть отправлены по почте (по дате на почтовом штемпеле) не позднее 3 апреля 2018.

От заявителей не требуется оплата заявочной пошлины, но с них может взиматься плата за проверку кредитоспособности, которая не подлежит возврату.

С вами свяжутся также в том случае, если ваша заявка будет отклонена по любой из следующих причин:

  1. Домохозяйство не отвечает установленным требованиям (таким, как доход) для участия в программе, в рамках которой было построено жилье.
  2. От домохозяйства поступило более одной заявки на жилой объект, что привело к ее аннулированию.
Согласно данным о том, кто чаще всего выигрывает в жилищных лотереях по аренде дешевого жилья в Нью-Йорке, бесспорными лидерами являются одинокие молодые люди.

Читайте также на ForumDaily:

Что мне нравится в русскоязычной общине Нью-Йорка

Россиянин о жизни в Нью-Йорке: цены тут растут всегда

Иммигрантов, получающих фудстемпы, хотят лишить права на грин-карту

10 советов, как сэкономить деньги в Нью-Йорке

Разное жилье Нью-Йорк
Подписывайтесь на ForumDaily в Google News

Хотите больше важных и интересных новостей о жизни в США и иммиграции в Америку? — Поддержите нас донатом! А еще подписывайтесь на нашу страницу в Facebook. Выбирайте опцию «Приоритет в показе» —  и читайте нас первыми. Кроме того, не забудьте оформить подписку на наш канал в Telegram  и в Instagram— там много интересного. И присоединяйтесь к тысячам читателей ForumDaily New York — там вас ждет масса интересной и позитивной информации о жизни в мегаполисе. 



 
1332 запросов за 1,525 секунд.